【過去問YN】R6(24)M6 山梨県公立高校入試 数学 大問6 図形
PDFでダウンロードしたい方は下のボタンをクリック
↓ダウンロードだけならこちら↓
令和6年度 山梨県公立高等学校入学者選抜学力検査問題 数学 大問6
解答・解説
解答

解説
解答
(1)② π (cm)
解説

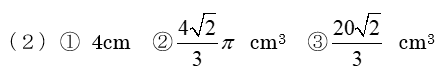
解答

解説 ①
(2)①直角三角形AOHで三平方の定理で求める。
解説 ②

解説 ③


解説は以上です。
わかりにくい点があったら、学校の先生や塾の先生に補足してもらってください。
もし、まわりにこの問題が分からない友だちがいて、自分が理解できていたら、説明してみましょう。
人に説明できると、理解がより深まることがよくあります。(時間があるときだけで大丈夫ですよ)
本ページに掲載している入試問題および解答は、山梨県教育庁高校教育課の承認を得て掲載しています。
PDFでダウンロードしたい方は下のボタンをクリック
正答率
山梨県教育委員会HP参照

学力検査活用ガイドより

山梨県教育委員会HP 【学力検査活用ガイド】↓↓↓↓
https://www.pref.yamanashi.jp/documents/7061/r06kensakkkakatuyouguide.pdf
その他の教科、数学の他の大問の正答率、抽出調査・分析の概要等が確認できます。
本ページ閲覧やPDFのダウンロードは無料でご利用いただけますが、活動を続けるためにご支援をお願いしております。
もしこのページがお役に立ちましたら、今後の継続的な提供のためにご支援をいただけますと幸いです。
ご支援のお願い – 個別学習塾 LEAF

【LEAFの体験授業・お問い合せは】
・体験授業・ご入会・ご退会
・お問い合せ
【学力支援ページもご覧ください】
・【脳葉強化 ~ひらめきラボ~】 脳細胞フル回転!問題解決への挑戦!
・ 頑張る子のために~反復プリント~【ダウンロードページ】
・公立高校受験生応援ページ【山梨県公立高校入試 過去問】


